

距 PAT考试已有将近一个月,在凌晨收到了爱徒牛津面邀的通知,激动之情溢于言表。回想备考期间的日夜付出,终于也到了收获的时候。在由衷祝福爱徒的同时,本篇主要以 A Level阶段的知识点出发,给大家分享一些备考学习中出现的高频问题,也为有备考 PAT意向的学员清晰方向。

作为帝国理工的敲门砖,PAT也是申请牛津工程、材料、物理等相关专业的必备,其含金量极高。虽说是物理竞赛,但其实分数学和物理两部分,分值各占一半,且与 A Level 知识点重合性较高。数学部分主要考核基数、代数以及微积分三大块内容,一般会涉及二项展开式、等差等比数列、平面几何、概率、三角函数、解不等式、长除法、微积分以及根据函数作图像这几类题型。

物理部分主考力学、波和光学、电和磁、自然世界这几块知识点,尤其侧重于力学、电和磁、万有引力公式、动量与能量守恒以及波这几大方面。数学部分相对简单,但近几年有难度增大的趋势,不容小觑。物理部分是重点,基础题和难题夹杂,题型多变,较为灵活。
根据历届真题整理以及集训实录,为大家结合分享备考学员经常出错的几类题型,予以警惕。数学部分,首先是错误率较高的作图题,可意同学在起初阶段也不例外,而结合 UIA理综竞赛部整合研发的作图步骤,只要掌握方法就不难解决,沈老师强调此类题型大多都存在渐近线的情况,按照 “找渐近线 —— 找图象与坐标轴交点 —— 判断图象升降” 的思路,即能做到游刃有余。
举例说明:作
的图象。首先找到两条渐近线 x=1和 x=-1以及与纵轴交点(0,-1),再根据函数性质即偶函数,先画 x轴正半轴部分图象,负半轴部分与之轴对称,如下图:

而另一类易错点则涉及分式不等式题型,UIA理综竞赛组温馨提示:此类题型还需注意 “去分母”,是最为常用也是最简单的方法,不过移项时一定注意正负号调整。例如 2012年真题卷第 11题:

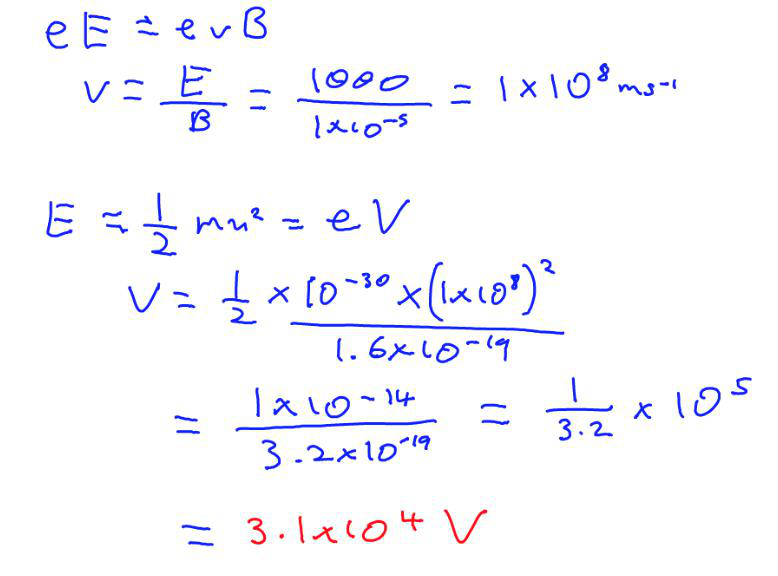
数学部分是能否取得高分的关键,虽相对基础也不容轻视。至于物理部分,普遍学员会在电磁与万有引力题型上出现错漏。在电与磁题型中,
是经常会运用到的公式,一般适用于电子加速器中,电场力
和洛伦兹力
也会结合在一起考察,如 2011年真题卷第 23题:

解题思路:该题求加速电子所需的电压,那么就必须知道该电子在电场和磁场中运行的速率,由于不发生偏转,则说明电场力与磁场力相等,根据公式即可得到电子运动速度,反推则可求得所需电压,具体过程如下:

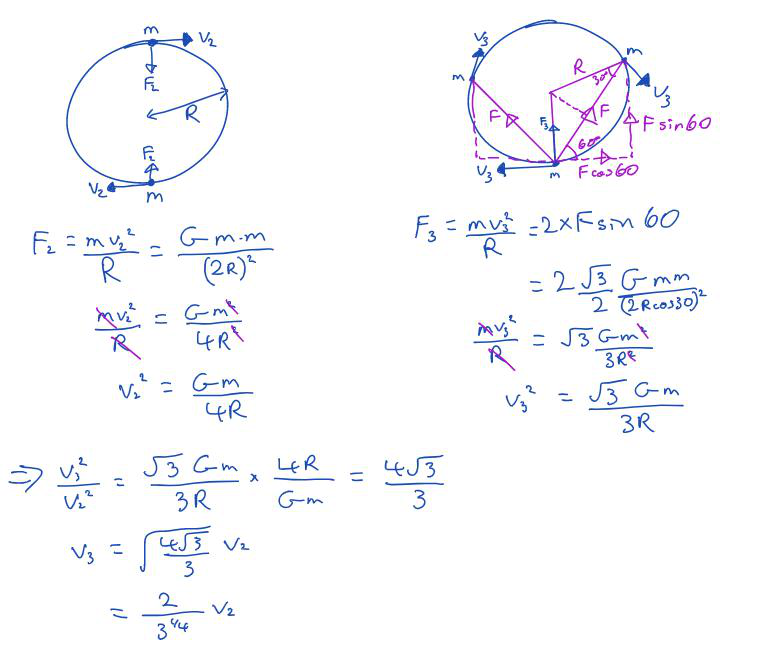
此外,万有引力题型,重点在于对公式的熟练运用,必考以下公式:

以 2017年真题卷第 20题为例:

该题中双星系统求
直接运用以上公式即可,而三星系统注意受力分析,其中一颗星受到的向心力是由另两颗星对于它的万有引力分力提供的,运算涉及三角函数,切不可疏忽大意,具体步骤请看下图:

对于有意向参与 PAT备考的学员,UIA理综竞赛组已整合历年真题卷,而也正是由于 PAT题库资料有限,针对部分核心知识点的加强,可在老师指导下搭配 A Level 相关学科资料进行演练提升。
UIA理综竞赛组根据各分值题型以及更新的考纲出版了 PAT专项练习册,可联系理综竞赛组的老师获取更多备考资料与详细规划,为迎接考试全力以赴。对于计算能力偏弱的学员,不要担心,考试允许使用计算器,但需符合官方指定型号,见下图:

文献来源 Reference: